Parcours en profondeur de graphe

Dans cet exercice, on considère un graphe non orienté représenté sous forme de listes d’adjacence. On suppose que les sommets sont numérotés de 0 à n-1.

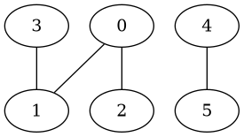
Ainsi, le graphe suivant:

image du graphe 2024 sujet 21

sera représenté par la liste d’adjacence suivante:

adj = [[1, 2], [0, 3], [0], [1], [5], [4]]

On souhaite déterminer les sommets accessibles depuis un sommet donné dans le graphe. Pour cela, on va procéder à un parcours en profondeur du graphe.

Compléter les fonctions parcours et accessibles.

  • La fonction parcours prend en paramètres une liste d'adjacence liste_adjacence, un entier x représentant un sommet, et la liste des sommets accessibles sommets_accessibles Elle réalise un parcours en profondeur récursif du graphe donné par les listes d'adjacence adjacence depuis le sommet x en accumulant les sommets rencontrés dans la liste sommets_accessibles

  • La fonction accessibles prend en paramètres une liste d'adjacence liste_adjacence, un entier x représentant un sommet.
    Elle renvoie la liste des sommets accessibles dans le graphe donné par la listes d'adjacence liste_adjacence depuis le sommet x

Exemples

Python Console Session
>>> accessibles([[1, 2], [0, 3], [0], [1], [5], [4]], 0)
[0, 1, 3, 2]
>>> accessibles([[1, 2], [0, 3], [0], [1], [5], [4]], 4)
[4, 5]
Compléter le code ci-dessous

###(Dés-)Active le code après la ligne # Tests (insensible à la casse)
(Ctrl+I)
Entrer ou sortir du mode "deux colonnes"
(Alt+: ; Ctrl pour inverser les colonnes)
Entrer ou sortir du mode "plein écran"
(Esc)
Tronquer ou non le feedback dans les terminaux (sortie standard & stacktrace / relancer le code pour appliquer)
Si activé, le texte copié dans le terminal est joint sur une seule ligne avant d'être copié dans le presse-papier
Évaluations restantes : 5/5

.128013w]itkc[v8o-)yl0bxp_.P3(ajg=/m4rse97Sf,d 612:5nuh050N0H0e0y0d0o0G0O0g0o0y0G0G0B010e0d0s010406050G0V0D0D0y0F0n040K0k0o0V0;0k0U050C0{0}0 110_0s04051h1a1k0C1h0_0N0d0i0)0+0-0/0+0U0A0V0y0A0H0l0s0n0e0W180O0W0d0A0W0o1M0W0e0@050!0q0o0H1t0,0.011L1N1P1N0e1V1X1T0e0F1i1H0)140G0s0y0U0/0R011Z1v010L0$0H0U0y0D0H1T1^1`1 1#221X25270@0a0O0v0F0k0s0k0G0d170U0O0Y1?0F0F0H0g2s1a2a0U1i0C1H2F1/1;1:1U0N2c1w0d0U242p1T1q1s0*1!2P2R0U0k2V1T0s2y1i2D2F2,0`1_2t2X202#0F0~0o1T0y1K2y0L0/030t0t0g2$0H1P2!0k0l0Q3a0@0O0Q1a0y2-2:0^2/2b2=1#2@2_2{2}0H2 01313335372S3a0l1}040O0R3g3i1`3k2D2O013p0y2`1i2|0W2~3032340Y3z2#3B0w3d0w3H2C3j0_3L3n0/3O3Q053S3U3v3W3y2Q3A3b0E3d0E3)1b3+3l2;1u3o0k2^3P3r3T3t3V3x3Y3{3!3b0T3d0T412,3,2:3M3:4b3@3w3X364h393b0P3d0P4n433-463/483q3R3s3u4v3`383B0J3d0J4E3J4p3m4H3N4J4a4L4c4N3_4g4Q3b0j3d0j4V2E4X452Y4!493;3?4d3^4f4x4,0l0I3d0I4;3K4q3.4_4K3=4M4e4w3Z4z3a0p0@0Q0p561l2*1a2V2I0N1;2N594w2U1r1i2)0H2+3j3*3J054w5D2b0d0N0/322D3B0Q3r5L5N4 5g5Q1~2g0H5U5f4y5X2F3h443M0f0@0Y0L5F2E5+590b3d5;5J4@2?0L0@1_0F340V0F0G5`5?4Z0?040x664G4^0U0@0y0N0z0y0g246l6c58680@0M5`0O676e0@0r6o4Y4^696s423J6u6d2?0@0G0k0}0Z0G0t6k6l0-0d1W0H656E5=6H1#690m0S5`0_6X5{0O5T015O2:3B3D5c6-4*503|3C5Y265!6.5V5%3b6=0C3h0O766G6p4^5-040d5:6*786A6I046y7f6v200k5^042#0e6t7m1#7o0@2Q7t6Z3/6J6L270e6O6Q6V2q6U6W2.7A01696%7f6)7M4q6@0t5P3b3$4L7V5$513$0O5Z5#4P6`7Z3H777:7g5|3o7C6M7F6P0g6R7J1X7L5E7N0k0@0u6z7?7B040y0s0s240N863M696b6*7u887k7T7h6!0@0m6(8f7V7X0l3~7!5M6 7$6`3~7)6}7+4+8C1T743E7;768k017b0L487z797i0n8T8o0/7w7c197l7N6f896i6k6m0H8f59690h8/4Z8)8m818U8p040c7Q2,0O7S8`5K8z6/1`3B4k8y8G6_4i0l4k8E279b5W4j8J758M7;8O8)6062648?6B0@8i8n873N6g8+6l0U6n8j7N6C8X9z8)8W9G8{0/9I8%9O9A046K7_7G7|7I6T7 9u206#6t925G3L8u6:4A5S9570514B9g6~6^9j0l4B5)3k9N945U8v4S9a8A7,9d4S9^9i710la43)7N7b5/9$1#7p6ua09K5~899Y6S7Kaj9P9wau9T6h6j9D9F9y8g6r9J4r6xax6#8 43an6,9;8v4.a59`ac4.aaa68H9daR7/779p7^7E9X7}9!6VaG5983040Ba.6q040h0c8saN9-973b53aS9=6`53aWaT51b0a#8N8(5 0 9s809+9S8hax8)az8,9E8.aN8:aF9R8Y9T8_bgbt9Q90a%9U7D6N7{a+atbpa@8r7R8taP9.5i9:ab515l6|9haX9c5hbS9~7:8O7b2y0e638$bzbbbB9WbE9ZbG4o660C5I5o5C5q5z1a0e5tb}2L2G0y6U2F5r6)0Y0!0$0G04.