Arbres - Exercices - 2

Auteur : Gilles Lassus

Exercice 1

Exercice 2 du sujet 2022 Nouvelle-Caledonie J2

Correction 1.

C'est un arbre binaire car chaque nœud possède au maximum deux fils.

Correction 2.a

V est un dictionnaire.

Correction 2.b
Python
V['J']
Correction 2.c
Python
1
2
3
4
5
def somme(W):
    s = 0
    for cle in W:
        s += W[cle]
    return s
Correction 2.d
Python
1
2
3
4
5
6
7
def VMax(W):
    val_max = 0
    for cle in W:
        if W[cle] > val_max:
            val_max = W[cle]
            cle_max = cle
    return cle_max
Correction 3.

Cet algorithme calcule le nombre total de nœuds de l'arbre, donc la taille de l'arbre. C'est un algorithme récursif qui va renvoyer, si on n'est pas positionné sur un arbre vide, la valeur 1 (correspond au nœud racine sur lequel on est positionné), plus la taille des deux sous-arbres gauche et droits.

Correction 4.a

Le parcours est A-B-C-E-D-F-G-I-H-J

Correction 4.b

C'est un parcours préfixe.

Exercice 2

2020, sujet 0

Question 1

Déterminer la taille et la hauteur de l’arbre binaire suivant : image

Question 2

On décide de numéroter en binaire les nœuds d’un arbre binaire de la façon suivante :

  • la racine correspond à 1 ;
  • la numérotation pour un fils gauche s’obtient en ajoutant le chiffre 0 à droite au numéro de son père ;
  • la numérotation pour un fils droit s’obtient en ajoutant le chiffre 1 à droite au numéro de son père ;

Par exemple, dans l’arbre ci-dessous, on a utilisé ce procédé pour numéroter les nœuds A, B, C, E et F .

image

  1. Dans l’exemple précédent, quel est le numéro en binaire associé au nœud G ?
  2. Quel est le nœud dont le numéro en binaire vaut 13 en décimal ?
  3. En notant \(h\) la hauteur de l’arbre, sur combien de bits seront numérotés les nœuds les plus en bas ?
  4. Justifier que pour tout arbre de hauteur \(h\) et de taille \(n \geqslant 2\), on a : \(h\leqslant n \leqslant 2^h-1\)

Question 3
Un arbre binaire est dit complet si tous les niveaux de l’arbre sont remplis. image

On décide de représenter un arbre binaire complet par un tableau de taille n + 1, où n est la taille de l’arbre, de la façon suivante :

  • La racine a pour indice 1 ;
  • Le fils gauche du nœud d’indice i a pour indice \(2 \times i\) ;
  • Le fils droit du nœud d’indice i a pour indice \(2 \times i + 1\) ;
  • On place la taille \(n\) de l’arbre dans la case d’indice 0.

Répondre aux questions suivantes :

  1. Déterminer le tableau qui représente l’arbre binaire complet de l’exemple précédent.
  2. On considère le père du nœud d’indice \(i\) avec \(i \geqslant 2\). Quel est son indice dans le tableau ?

Question 4

On se place dans le cas particulier d’un arbre binaire de recherche complet où les nœuds contiennent des entiers et pour lequel la valeur de chaque noeud est supérieure à celles des noeuds de son fils gauche, et inférieure à celles des noeuds de son fils droit.

Écrire une fonction recherche ayant pour paramètres un arbre arbre et un élément element. Cette fonction renvoie True si element est dans l’arbre et False sinon. L’arbre sera représenté par un tableau comme dans la question précédente.

corrigé

Q1 La taille est 9, la hauteur est 4.
Q2 1. G est associé à 1010.
Q2 2. 13 s'écrit 1101 en binaire, c'est donc le nœud I.
Q2 3. Les nœuds les plus en bas sont notés sur \(h\) bits.
Q2 4. L'arbre de hauteur \(h\) de taille minimale est l'arbre filiforme, qui est de taille \(h\).
L'arbre de hauteur \(h\) de taille maximale est l'arbre complet, qui est de taille \(2^h-1\). Si \(n\) est la taille d'un arbre quelconque de taille \(h\), on a donc bien

\(h \leqslant n \leqslant 2^h-1\).

Q3 1. Tableau : [15, A, B, C, D, E, F, G, H, I, J, K, L, M, N, O] .
Q3 2. Le père du nœud d'indice i a pour indice i//2.

Q4 :

Python
def recherche(arbre, element):
    i = 1
    while i < len(arbre):
        if arbre[i] == element:
            return True
        if element < arbre[i]:
            i = 2*i # on se place sur le fils gauche
        else:
            i = 2*i +  1 # on se place sur le fils droit
    return False

Exercice 3

2021, Métropole sujet 1

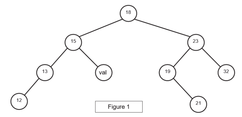
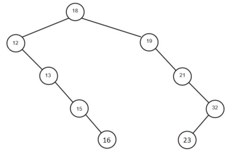
Dans cet exercice, les arbres binaires de recherche ne peuvent pas comporter plusieurs fois la même clé. De plus, un arbre binaire de recherche limité à un nœud a une hauteur de 1. On considère l’arbre binaire de recherche représenté ci-dessous (figure 1), où val représente un entier :

image

1.a Donner le nombre de feuilles de cet arbre et préciser leur valeur (étiquette).

1.b Donner le sous arbre-gauche du nœud 23.

1.c Donner la hauteur et la taille de l’arbre.

1.d Donner les valeurs entières possibles de val pour cet arbre binaire de recherche.

On suppose, pour la suite de cet exercice, que val est égal à 16.

2. On rappelle qu’un parcours infixe depuis un nœud consiste, dans l’ordre, à faire un parcours infixe sur le sous arbre-gauche, afficher le nœud puis faire un parcours infixe sur le sous-arbre droit.
Dans le cas d’un parcours suffixe, on fait un parcours suffixe sur le sous-arbre gauche puis un parcours suffixe sur le sous-arbre droit, avant d’afficher le nœud.

a. Donner les valeurs d’affichage des nœuds dans le cas du parcours infixe de l’arbre.
b. Donner les valeurs d’affichage des nœuds dans le cas du parcours suffixe de l’arbre.

3. On considère la classe Noeud définie de la façon suivante en Python :

image

a. Représenter l’arbre construit suite à l’exécution de l’instruction suivante :

Python
racine = Noeud(18)
racine.insere_tout([12, 13, 15, 16, 19, 21, 32, 23])
b. Écrire les deux instructions permettant de construire l’arbre de la figure 1. On rappelle que le nombre val est égal à 16.

c. On considère l’arbre tel qu’il est présenté sur la figure 1. Déterminer l’ordre d’exécution des blocs (repérés de 1 à 3) suite à l’application de la méthode insere(19) au nœud racine de cet arbre.

4. Écrire une méthode recherche(self, v) qui prend en argument un entier v et renvoie la valeur True si cet entier est une étiquette de l’arbre, False sinon.

corrigé

1.a. Il y a 4 feuilles, d'étiquette 12, val, 21 et 32.
1.b. Le sous-arbre gauche du nœud 23 est 19-21.
1.c. La hauteur de l'arbre est 4. Sa taille est 9.
1.d. Les valeurs possibles de val sont 16 et 17.

2.a. Parcours infixe : 12-13-15-16-18-19-21-23-32
2.b. Parcours suffixe : 12-13-16-15-21-19-32-23-18

3.a. image

3.b.

Python
racine = Noeud(18)
racine.insere([15, 13, 12, 16, 23, 32, 19, 21])
(d'autres solutions sont possibles)

3.c. Bloc 3 - Bloc 2 - Bloc 1

4.

Python
class Noeud():
    def __init__(self, v):
        self.ag = None
        self.ad = None
        self.v = v

    def insere(self, v):
        n = self
        est_insere = False
        while not est_insere:
            if v == n.v:
                est_insere = True
            elif v < n.v:
                if n.ag != None:
                    n = n.ag
                else:
                    n.ag = Noeud(v)
                    est_insere = True
            else:
                if n.ad != None:
                    n = n.ad
                else:
                    n.ad = Noeud(v)
                    est_insere = True

    def insere_tout(self, vals):
        for v in vals:
            self.insere(v)

    def recherche(self, v):
        arbre = self
        while not arbre is None:
            if arbre.v == v:
                return True
            if v < arbre.v:
                arbre = arbre.ag
            else:
                arbre = arbre.ad
        return False


racine = Noeud(18)
racine.insere_tout([12, 13, 15, 14, 19, 21, 32, 23])
print(racine.recherche(149))
print(racine.recherche(12))
Exercice 4

2021, Métropole Candidats Libres 2

On rappelle qu’un arbre binaire est composé de nœuds, chacun des nœuds possédant éventuellement un sous-arbre gauche et éventuellement un sous-arbre droit. Un nœud sans sous-arbre est appelé feuille. La taille d’un arbre est le nombre de nœuds qu’il contient ; sa hauteur est le nombre de nœuds du plus long chemin qui joint le nœud racine à l’une des feuilles. Ainsi la hauteur d’un arbre réduit à un nœud, c’est-à-dire la racine, est 1.

Dans un arbre binaire de recherche, chaque nœud contient une clé, ici un nombre entier, qui est :

  • strictement supérieure à toutes les clés des nœuds du sous-arbre gauche ;
  • strictement inférieure à toutes les clés des nœuds du sous-arbre droit.

Un arbre binaire de recherche est dit « bien construit » s’il n’existe pas d’arbre de hauteur inférieure qui pourrait contenir tous ses nœuds.

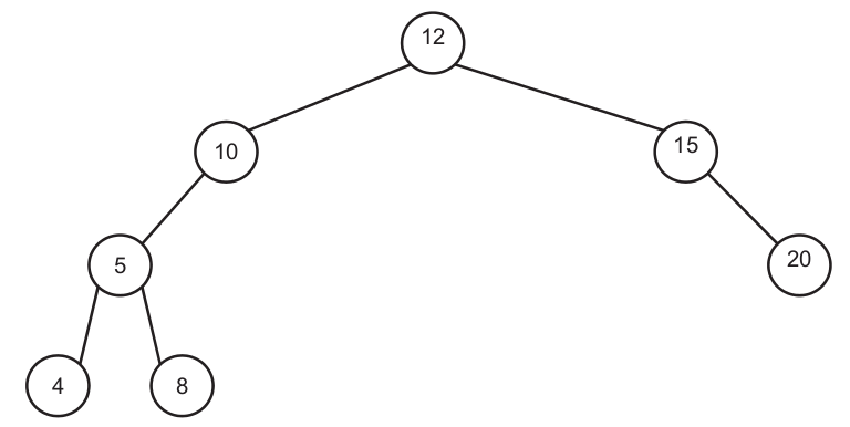
On considère l’arbre binaire de recherche ci-dessous.

image

1.a. Quelle est la taille de l’arbre ci-dessus ?

1.b. Quelle est la hauteur de l’arbre ci-dessus ?

corrigé

1.a. La taille de l'arbre est 7.
1.b. La hauteur de l'arbre est 4.

2. Cet arbre binaire de recherche n’est pas « bien construit ». Proposer un arbre binaire de recherche contenant les mêmes clés et dont la hauteur est plus petite que celle de l’arbre initial.

corrigé

2. image

3. Les classes Noeud et Arbre ci-dessous permettent de mettre en œuvre en Python la structure d’arbre binaire de recherche. La méthode insere permet d’insérer récursivement une nouvelle clé.

Python
class Noeud :

    def __init__(self, cle):
        self.cle = cle
        self.gauche = None
        self.droit = None

    def insere(self, cle):
        if cle < self.cle :
            if self.gauche == None :
                self.gauche = Noeud(cle)
            else :
                self.gauche.insere(cle)
        elif cle > self.cle :
            if self.droit == None :
                self.droit = Noeud(cle)
            else :
                self.droit.insere(cle)

class Arbre :

    def __init__(self, cle):
        self.racine = Noeud(cle)

    def insere(self, cle):
        self.racine.insere(cle)

Donner la représentation de l’arbre codé par les instructions ci-dessous.

Python
a = Arbre(10)
a.insere(20)
a.insere(15)
a.insere(12)
a.insere(8)
a.insere(4)
a.insere(5)
corrigé

3. image

4. Pour calculer la hauteur d’un arbre non vide, on a écrit la méthode ci-dessous dans la classe Noeud.

Python
def hauteur(self):
    if self.gauche == None and self.droit == None:
        return 1
    if self.gauche == None:
        return 1 + self.droit.hauteur()
    elif self.droit == None:
        return 1 + self.gauche.hauteur()
    else:
        hg = self.gauche.hauteur()
        hd = self.droit.hauteur()
        if hg > hd:
            return hg + 1
        else:
            return hd + 1
Écrire la méthode hauteur de la classe Arbre qui renvoie la hauteur de l’arbre.

corrigé

4.

Python
def hauteur(self):
    return self.racine.hauteur()

5. Écrire les méthodes taille des classes Noeud et Arbre permettant de calculer la taille d’un arbre.

corrigé

5. Méthode taille de la classe Noeud :

Python
1
2
3
4
5
6
7
8
9
def taille(self):
    if self.gauche is None and self.droit is None:
        return 1
    elif self.gauche is None:
        return 1 + self.droit.taille()
    elif self.droit is None:
        return 1 + self.gauche.taille()
    else:
        return 1 + self.gauche.taille() + self.droit.taille()
Méthode taille de la classe Arbre :
Python
def taille(self):
    return self.racine.taille()

6. On souhaite écrire une méthode bien_construit de la classe Arbre qui renvoie la valeur True si l’arbre est « bien construit » et False sinon.

On rappelle que la taille maximale d’un arbre binaire de recherche de hauteur \(ℎ\) est \(2^h - 1\).

6.a Quelle est la taille minimale, notée min d’un arbre binaire de recherche « bien construit » de hauteur \(ℎ\) ?

corrigé

6.a. La configuration minimale d'un arbre bien construit de hauteur \(h\) peut être :

image

La taille minimale min est donc égale à \(2^{h-1}\).

6.b Écrire la méthode bien_construit demandée.

corrigé

6.b. Intuitivement, un arbre est mal construit si sa hauteur est trop grande par rapport à sa taille (trop étiré).

Donc un arbre est mal construit si sa taille est trop petite par rapport à sa hauteur.

Donc un arbre de taille \(t\) et de hauteur \(h\) est mal construit si \(t < 2^{h-1}\), puisqu'on a démontré que \(2^{h-1}\) était la taille minimale.

Pour tester si un arbre est bien construit, on va donc juste vérifier que \(t \geqslant 2^{h-1}\) :

Python
1
2
3
def bien_construit(self):
    h = self.taille()
    return self.taille() >= 2**(h-1)
Exercice 5

2021, Polynésie

Cet exercice traite principalement du thème « algorithmique, langages et programmation » et en particulier les arbres binaires de recherche. La première partie aborde les arbres en mode débranché via l'application d'un algorithme sur un exemple. La suivante porte sur la programmation orientée objet. La dernière partie fait le lien avec les algorithmes de tri.

Partie A : Étude d'un exemple

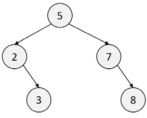
Considérons l'arbre binaire de recherche ci-dessous :

image

Q1. Indiquer quelle valeur a le nœud racine et quels sont les fils de ce nœud.

corrigé

Le nœud racine est 5 et ses fils sont 2 et 7.

Q2. Indiquer quels sont les nœuds de la branche qui se termine par la feuille qui a pour valeur 3.

corrigé

La branche qui se termine par la feuille 3 a pour nœuds 5, 2 et 3.

Q3. Dessiner l’arbre obtenu après l’ajout de la valeur 6.

corrigé

image

Partie B : Implémentation en Python

Voici un extrait d’une implémentation en Python d'une classe modélisant un arbre binaire de recherche.

Python
class ABR:
    """Implémentation d’un arbre binaire de recherche (ABR)"""
    def __init__(self, valeur=None):
        self.valeur = valeur
        self.fg = None
        self.fd = None

    def estVide(self):
        return self.valeur == None

    def insererElement(self, e):
        if self.estVide():
            self.valeur = e
        else:
            if e < self.valeur:
                if self.fg:
                    self.fg.insererElement(e)
                else:
                    self.fg = ABR(e)
            if e > self.valeur:
                if self.fd:
                    self.fd.insererElement(e)
                else:
                    self.fd = ABR(e)

Q1. Expliquer le rôle de la fonction __init__.

corrigé

La fonction __init__ est appelée «méthode constructeur», c'est elle qui crée l'objet et le dote de tous les attributs nécessaires.

Q2. Dans cette implémentation, expliquer ce qui se passe si on ajoute un élément déjà présent dans l’arbre.

corrigé

Si on ajoute un élément déjà présent dans l'arbre, la valeur e sera égale à self.valeur (éventuellement après quelques appels récursifs). Or ce cas d'égalité n'est pas prévu par les tests : il ne se passera donc RIEN. Ceci est le comportement souhaité puisqu'on ne veut pas avoir deux valeurs identiques dans notre ABR, ainsi qu'il est rappelé au début de l'énoncé.

Q3. Recopier et compléter les pointillés ci-dessous permettant de créer l’arbre de la partie A.

Python
arbre = ABR(.......... )
arbre.insererElement(2)
arbre.insererElement(.......... )
arbre.insererElement(7)
arbre.insererElement(.......... )

corrigé
Python
arbre = ABR(5)
arbre.insererElement(2)
arbre.insererElement(3)
arbre.insererElement(7)
arbre.insererElement(8)

Partie C : Tri par arbre binaire de recherche

On souhaite trier un ensemble de valeurs entières distinctes grâce à un arbre binaire de recherche. Pour cela, on ajoute un à un les éléments de l’ensemble dans un arbre initialement vide. Il ne reste plus qu’à parcourir l’arbre afin de lire et de stocker dans un tableau résultat les valeurs dans l’ordre croissant.

Q1. Donner le nom du parcours qui permet de visiter les valeurs d’un arbre binaire de recherche dans l’ordre croissant.

corrigé

Le parcours qui permet de visiter les valeurs d'un ABR dans l'ordre croissant est le parcours infixe.

Q2. Comparer la complexité de cette méthode de tri avec celle du tri par insertion ou du tri par sélection.

corrigé

question difficile Pour créer l'ABR, il faut d'abord insérer chacune des valeurs. La fonction insertion reposant sur une division par 2 à chaque étape de la taille de l'espace de recherche, on peut dire qu'elle a une complexité logarithmique. Mais cette opération est à effectuer autant de fois qu'il y a d'éléments à insérer : il faut donc multiplier la complexité logarithmique par n, ce qui fera donc une complexité en \(n \log(n)\). L'algorithme de parcours infixe est lui aussi linéraire, ce qui ne change pas la complexité totale. Cette complexité est meilleure que le tris par insertion ou sélection, qui sont de complexité quadratique.

Exercice 6

2021, Centres Étrangers, sujet 1

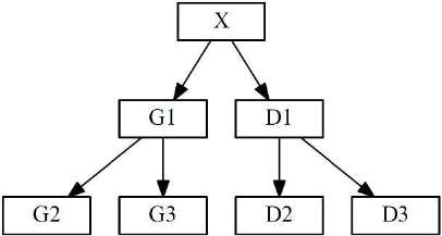
Un arbre binaire est soit vide, soit un nœud qui a une valeur et au plus deux fils (le sous-arbre gauche et le sous-arbre droit).

image

  • X est un nœud, sa valeur est X.valeur
  • G1 est le fils gauche de X, noté X.fils_gauche
  • D1 est le fils droit de X, noté X.fils_droit

Un arbre binaire de recherche est ordonné de la manière suivante :

Pour chaque nœud X,

  • les valeurs de tous les nœuds du sous-arbre gauche sont strictement inférieures à la valeur du nœud X
  • les valeurs de tous les nœuds du sous-arbre droit sont supérieures ou égales à la valeur du nœud X.

Ainsi, par exemple, toutes les valeurs des nœuds G1, G2 et G3 sont strictement inférieures à la valeur du nœud X et toutes les valeurs des nœuds D1, D2 et D3 sont supérieures ou égales à la valeur du nœud X.

Voici un exemple d'arbre binaire de recherche dans lequel on a stocké dans cet ordre les valeurs : [26, 3, 42, 15, 29, 19, 13, 1, 32, 37, 30]

L'étiquette d'un nœud indique la valeur du nœud suivie du nom du nœud. Les nœuds ont été nommés dans l'ordre de leur insertion dans l'arbre ci-dessous.

'29, noeud04' signifie que le nœud nommé noeud04 possède la valeur 29.

image

Q1. On insère la valeur 25 dans l'arbre, dans un nouveau nœud nommé nœud11.

Recopier l'arbre binaire de recherche étudié et placer la valeur 25 sur cet arbre en coloriant en rouge le chemin parcouru.

Préciser sous quel nœud la valeur 25 sera insérée et si elle est insérée en fils gauche ou en fils droit, et expliquer toutes les étapes de la décision.

Correction

image

25 étant plus petit que 26, on part dans son sous-arbre gauche.
25 étant plus grand que 3, on part dans son sous-arbre droit.
25 étant plus grand que 15, on part dans son sous-arbre droit.
25 étant plus grand que 19, on insère 25 en tant que fils droit de 19.

Q2. Préciser toutes les valeurs entières que l’on peut stocker dans le nœud fils gauche du nœud04 (vide pour l'instant), en respectant les règles sur les arbres binaires de recherche.

Correction

Les valeurs acceptables doivent être strictement inférieures à 29, et supérieures ou égales à 26. Ces valeurs sont donc : 26, 27 et 28.

Q3. Voici un algorithme récursif permettant de parcourir et d'afficher les valeurs de l'arbre :

Python
Parcours(A)  # A est un arbre binaire de recherche
    Afficher(A.valeur)
    Parcours(A.fils_gauche)
    Parcours(A.fils_droit)

Q3.a. Écrire la liste de toutes les valeurs dans l'ordre où elles seront affichées.

Correction

Les valeurs seront affichées dans l'ordre suivant : 26-3-1-15-13-19-25-42-29-32-30-37

Q3.b. Choisir le type de parcours d'arbres binaires de recherche réalisé parmi les propositions suivantes : Préfixe, Suffixe ou Infixe.

Correction

On reconnait un parcours préfixe.

Q4. En vous inspirant de l’algorithme précédent, écrire un algorithme Parcours2 permettant de parcourir et d'afficher les valeurs de l'arbre A dans l'ordre croissant.

Correction

Pour afficher les valeurs d'un ABR dans un ordre croissant, il faut utiliser un parcours infixe. Un algorithme récursif de parcours infixe peut être celui-ci:

Python
Parcours2(A)  # A est un arbre binaire de recherche
    Parcours2(A.fils_gauche)
    Afficher(A.valeur)
    Parcours2(A.fils_droit)