Graphe orienté
On considère dans cet exercice un graphe orienté représenté sous forme de listes d’adjacence.
On suppose que les sommets sont numérotés de 0 à n-1.
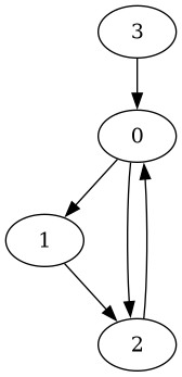
Par exemple, le graphe suivant :

est représenté par la liste d’adjacence suivante :
Écrire une fonction voisins_entrants(adj, x) qui prend en paramètre le graphe
donné sous forme de liste d’adjacence et qui renvoie une liste contenant les voisins entrants
du sommet x, c’est-à-dire les sommets y tels qu’il existe une arête de y vers x.
Exemples :
Exemple
Compléter ci-dessous
Tronquer ou non le feedback dans les terminaux (sortie standard & stacktrace / relancer le code pour appliquer)
Si activé, le texte copié dans le terminal est joint sur une seule ligne avant d'être copié dans le presse-papier
.128013w]itkc[vo-)ylxbp_.P3(ajg=/m4rseSf,d 612:5nuh050J0F0e0w0d0n0E0K0g0n0w0E0E0z010e0d0q010406050E0R0B0B0w0D0m040G0j0n0R0-0j0Q050A0@0_0{0}0=0q04051d161g0A1d0=0J0d0i0#0%0)0+0%0Q0y0R0w0y0F0k0q0m0e0S140K0S0d0y0S0n1I0S0e0:050W0p0n0F1p0(0*011H1J1L1J0e1R1T1P0e0D1e1D0#100E0q0w0Q0+0N011V1r010H0Y0F0Q0w0B0F1P1;1?1{1X1~1T21230:0a0K0t0D0j0q0j0E0d130Q0K0U1/0D0D0F0g2o16260Q1e0A1D2B1+1-1,1Q0J281s0d0Q202l1P1m1o0$1W2L2N0Q0j2R1P0q2u1e2z2B2(0?1=2p2T1|2X0D0`0n1P0w1G2u0H0+030r0r0g2Y0F1L2W0j0k0N0k0M0:0M160w2)2,0;2+272.1X2:2=2@2_0F2{012}2 31332O36360:0N3c3e1?3g2z2K013l0w2?1e2^0S2`2|2~300U3v2X3x0u0:0u3B2y3f0=3F3j0+3I3K053M3O3r3Q3u2M3w370C0:0C3Z173#3h2-1q3k0j2;3J3n3N3p3P3t3S3=3U370P0:0P3{2(3$2,3G3*453.3s3R324b35370L0:0L4h3f1h2$162R2E0J1-2J3(014q2Q1n1e2#0F2%4z3|3D054q4Q270d0J0+2~2z3x393L0K4Y4!494r344%1`2c0F4,4q3T4t381P0A3d3~3G0f0:0U0H3!4T3%400+0b0:0K552A4 4I0Q0H0:0i0j0d2m0Q0E0r201+1?0e0E5d4W3 2U010/040v5w5f583H0:0w0J0x5E575z5B0I5w5c5N2/0:0o5M4k4I5B0l0O5w0=4S5e3F4+014#2,3x1_4)5,3:4a4/371_0K4=4@3;5_3y2B3d0K645S5Y5G0Q5j5l5n5v5)04663i5G0j0:0z5R5F5O0:0h0c5%5X4X4Z5-0r4$373W5=6v5@4.3?0k3W5|224?6w4^4s3V4|63656n1|51040H426m5T3k0:0d6Y675z0j5a042M6%6h5z0Q0p0:0D1?1y6t5y1|5B5D6e6S3k6=042b6`3G6}755g5I5K785G5!5#6s6 5+6C6x5/3@3n5?4-4_3x3^6I235~5^6F3^626f657B700+6U0d546e6g6{6!045W7I7D016*6#157O6Z3)7a5L7h6(6|6p7c6:6#7%7#040c5$6e5(2*7i4,6y0k4e6B7v6E4c7^4;6J7{7q4d6P7A7B867J4l6a5m2M6d7;7!1X6j040s7*7L0w0q0q200J8k0+777Z6/5U6,8r5A0:0l7g8e6u7?7l0k4v7`6L5 6F4v7t6K6D828H847C7V016U2u0e0R0D7T2(8879045k8b5o8C4R4V4A4P4C4M160e4F8^2H2C0w1S8=0A4D5(0U0W0Y0E04.
# Tests(insensible à la casse)(Ctrl+I)
(Alt+: ; Ctrl pour inverser les colonnes)
(Esc)